Home>Where Did the 6,000+ Most Powerful People in the World Study?

22 January 2025
Where Did the 6,000+ Most Powerful People in the World Study?
Ricardo Salas-Díaz (Department of Economics, Dartmouth College) and Kevin L. Young, (Department of Economics, Gordon Hall, University of Massachusetts) published a research article in Global Networks (Volume 25, January 2025) titled « Where Did the Global Elite Go to School? Hierarchy, Harvard, Home and Hegemony ».
Where does Sciences Po fit into this study about global higher education and the most powerful people in the world, those whose decisions shape our lives?
To learn more, read the full research article by Ricardo Salas-Díaz and Kevin L. Young
Who are the most influential people in the world?
The researchers define elites as having three qualities : “agency, exclusivity, and some form of relation with their environment”.
They selected 6,141 most influential people among:
- the leaders of national states and their central banks ;
- the leadership, and board members of a wide variety of international organisations ;
- the board members of large globally prominent corporations, globally prominent think tanks, foundations, and non-governmental organisations ;
- a collection of the world’s billionaires.
The people they identified play a significant role in our global economy, politics, or policymaking.

Sciences Po among the universities that offer the strongest networks to their students
The researchers tried to study the way the most prestigious universities are connected to each other, playing “an undisputedly important role in making connections” across their students.
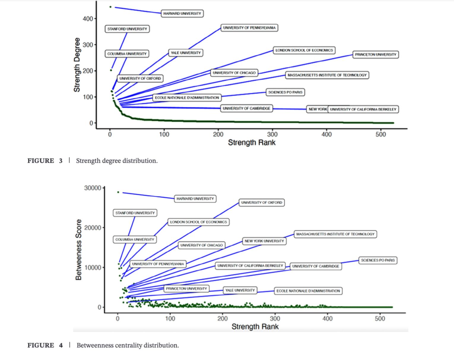
Sciences Po ranks in the Top 12 of this network of prestigious universities. It's a tribute to its strong 480+ international partnerships with the best universities in the world!

How did the researchers study this network context?
They created a “bipartite network” of all individuals in their data and their respective ties to universities. Then, they converted this network into a “unipartite network consisting of ties only between universities”. Each individual who graduated from two universities creates a tie between those. If more individuals are in this situation, it creates an edge that is weighted depending on the number of individuals. For example, if an individual graduates from Sciences Po and Columbia University, it creates a tie, if 8 individuals were educated at both universities, the edge between the two is weighted at 8.
Based on this approach, the authors calculated “the value of each university’s strength degree (it is edge-weighted degree—i.e. the number of connections it has to other universities weighted by the number of common ties)", see Figure 3. They also calculated "the betweenness centrality as an indicator of the potential common pathway or ‘conduit’ hubs between universities in the network”, see Figure 4.
Our partnerships with 7 of the Top 9 international universities
Although the selected people have attended almost 2,000 different universities, 18% studied at a US Ivy League School. Among the 9 most popular American and British universities, Sciences Po offers dual degrees with 3 of them: University of Pennsylvania (3rd position), Columbia University (5th), University of California Berkeley (9th), at the bachelor's and master's level.
Sciences Po researchers can also benefit from research partnerships (including research grants, visiting scholars programmes, collaborative research opportunities, exchange programmes, etc) with 5 of these top 9 universities: Harvard University (1rst position), the University of Oxford (4th), Columbia University (5th), Yale University (6th), and the University of Chicago (8th).

In tune with previous research studies, it's no surprise that 9% of the most influential people attended Harvard University. This year, Dmytro Kuleba, Former Ukrainian Foreign Minister, chose to join Sciences Po as an Adjunct Professor and Harvard University as a Senior Fellow.
Sciences Po is the 8th most-attended university (in a sample excluding the US-nationals)
Given that US nationals dominate the sample and that they tend to study in their own country, paired with the fact that a third of the sample was educated at the Top 3 universities of their own country, the researchers decided to re-run their analysis within a non-US sample. Sciences Po is then the 8th most-attended university.
The top 7 international universities attended by the global elite, excluding US-nationals, are located in the United States, the United Kingdom, France, and Japan.

Sciences offers dual master's degrees with the London School of Economics (4th position) and the University of Tokyo (7th).
The university also offers the best national preparatory programme to the École Nationale d'Administration (INSP - 6th position), which is available through a competitive entrance examination after a master's degree.
Finally, research programmes are available to Sciences Po researchers with Harvard University (1st position), the University of Oxford (2nd), the University of Cambridge (3rd), and London School of Economics (5th).
Because financial difficulties should not prevent anyone from studying at Sciences Po, the university offers scholarships, tuition fee exemptions and financial aid schemes. For example, over 3,000 students have been admitted and supported through our pioneering initiative, the Equal Opportunity Programme (CEP), created in 2001.
(credits: Vasily Koloda / Unsplash)
Open house days 2026

Virtual Undergraduate Open House day 2026
Come meet our teams and students at our campuses.
Virtual Graduate Open House day 2026
Meet faculty members, students and representatives and learn more about our 30 Master's programmes.